• Предмет: Алгебра
  • Автор: pupurka01
  • Вопрос задан 9 лет назад

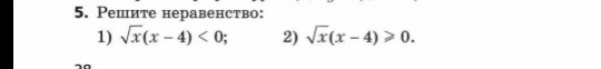
Срочно!!!Решите неравенства:
Во вложении есть вся информация

Приложения:

Ответы

Ответ дал: wejde
0
Ответ ответ ответ ответ ответ
Приложения:
Ответ дал: pupurka01
0
Можешь тоже самое с другими числами, я не то скинул?
Ответ дал: pupurka01
0
x(x-4)<0
Ответ дал: pupurka01
0
ой
Вас заинтересует