• Предмет: Математика
  • Автор: MaryanaLilo
  • Вопрос задан 9 лет назад

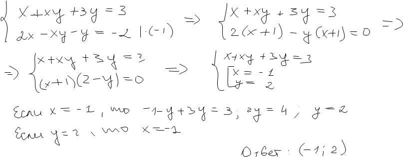
Решите систему:
x+xy+3y=3
2x-xy-y= -2
С объяснением.
Ответ дано: (-1:2)

Ответы

Ответ дал: Аноним
0
Второе уравнение легко разложить на множители
Приложения:
Ответ дал: MaryanaLilo
0
Почему там -y, а не +?
Ответ дал: MaryanaLilo
0
Всё, я поняла))) Там же домножаем,то, что после -
Вас заинтересует