Ответы
Ответ дал:
0
А1. 1
А2. 3
А3. 2
А4. 4
В1.(0,5)^8 × 0,25 = (0,5)^8 × (0,5)^2 = (0,5)^10
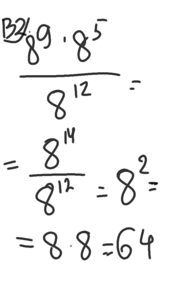
Ответ В2 на фото сверху)))
А2. 3
А3. 2
А4. 4
В1.(0,5)^8 × 0,25 = (0,5)^8 × (0,5)^2 = (0,5)^10
Ответ В2 на фото сверху)))
Приложения:
Ответ дал:
0
Спасибо)))
Ответ дал:
0
А1) 1
А2) 3
А3) 2
А4) 4
В1) 0,5⁸*0,25=0,5⁸*0,5²=0,5¹⁰В2) 8⁹*8⁵/8¹²=8¹⁴/8¹²=8²=64
А2) 3
А3) 2
А4) 4
В1) 0,5⁸*0,25=0,5⁸*0,5²=0,5¹⁰В2) 8⁹*8⁵/8¹²=8¹⁴/8¹²=8²=64
Приложения:
Вас заинтересует
3 года назад
3 года назад
9 лет назад
10 лет назад