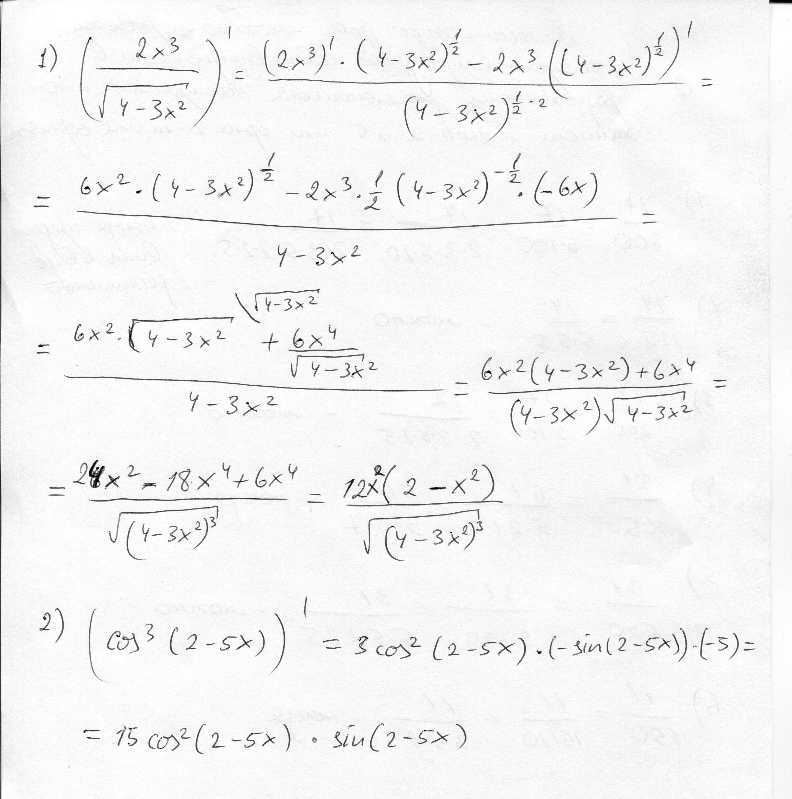
Найти производную первого порядка
1)(2*x^3)/sqrt(4-3*x^2)
2)cos^3*(2-5*x)

Ответы

Ответ дал: ThaiGuide
0
Скан решения заданий
Приложения:
Вас заинтересует