• Предмет: Алгебра
  • Автор: МЭТТ146
  • Вопрос задан 9 лет назад

нужна помощь плиз:
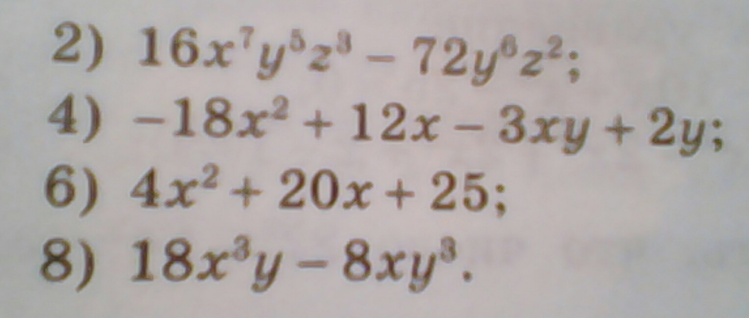
РАЗЛОЖИТЬ НА МНОЖИТЕЛИ

Приложения:

Ответа на этот вопрос пока нет. Попробуйте найти его через форму поиска.

Вас заинтересует