Ответы
Ответ дал:
0
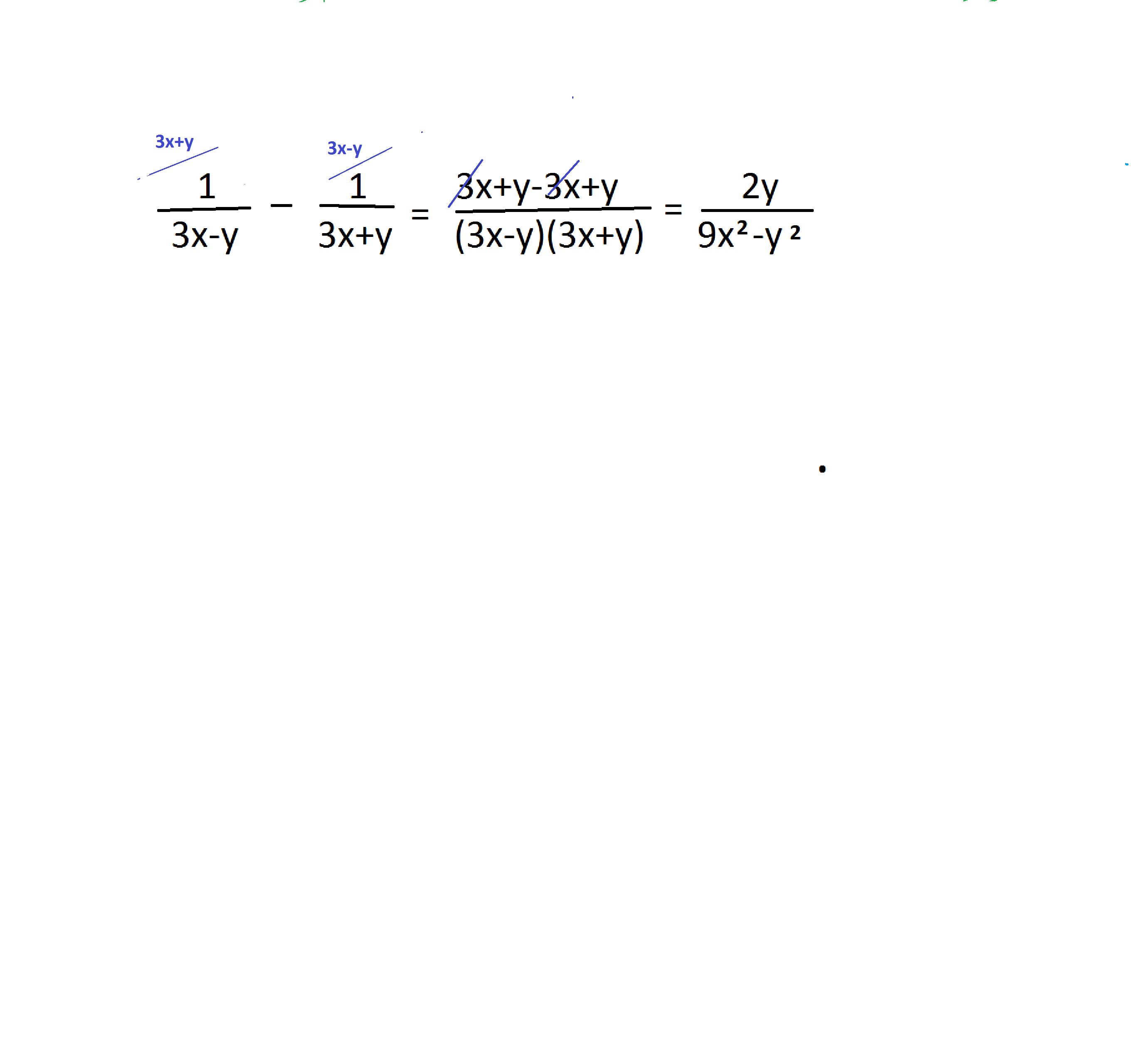
Если правильно поняла запись выражения, данную в комментарии, то нужно из одной дроби вычесть другую, применив правило сокращенного умножения.
Произведение разности двух чисел на их сумму дает разность квадратов этих чисел.
См. вложение
Произведение разности двух чисел на их сумму дает разность квадратов этих чисел.
См. вложение
Приложения:
Вас заинтересует
3 года назад
3 года назад
8 лет назад
8 лет назад
11 лет назад