Решить уравнение. Если уравнение имеет более одного решения, указать меньшее из них.
Приложения:
Ответы
Ответ дал:
0
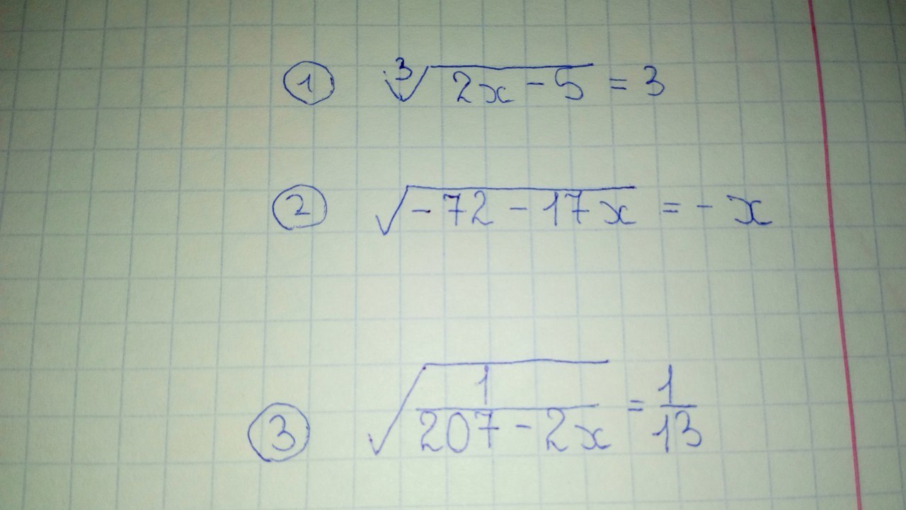
1) возводим обе части в куб
2х-5=27
х=16
2) Возводим обе части в квадрат:
х*х+17х+72=0
Два решения . По теореме Виета : -8 и -9.
Оба подходят по ОДЗ. Меньшее -9.
3) Возводим обе части в квадрат:
207 -2х=169
х=19
2х-5=27
х=16
2) Возводим обе части в квадрат:
х*х+17х+72=0
Два решения . По теореме Виета : -8 и -9.
Оба подходят по ОДЗ. Меньшее -9.
3) Возводим обе части в квадрат:
207 -2х=169
х=19
Вас заинтересует
3 года назад
3 года назад
9 лет назад