• Предмет: Математика
  • Автор: bektosh99161
  • Вопрос задан 9 лет назад

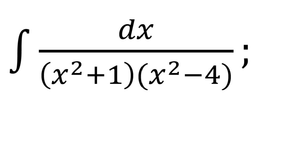
помогите пожалуйста. Найти неопределенные интегралы

Приложения:

Ответа на этот вопрос пока нет. Попробуйте найти его через форму поиска.

Вас заинтересует