Ответы
Ответ дал:
0
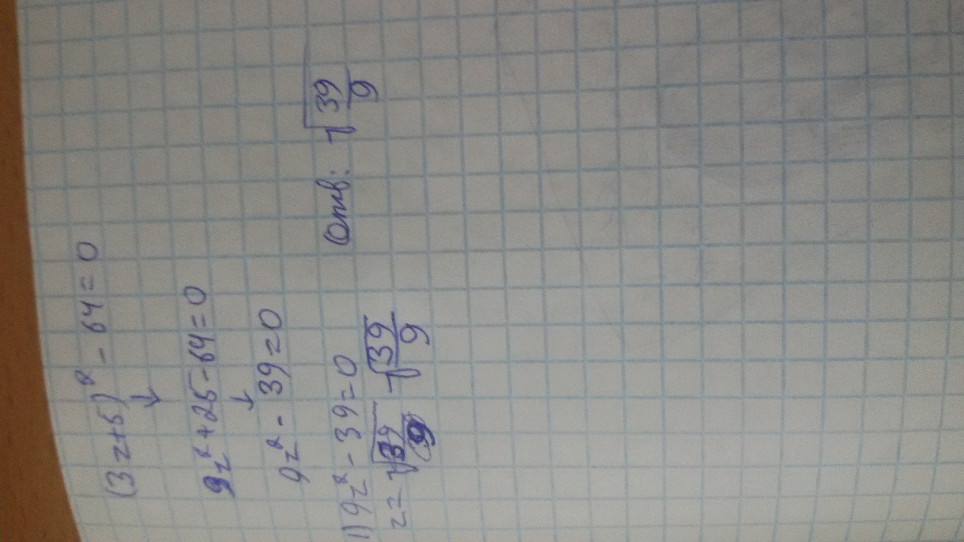
Кажется так.Я сам не спец, но всё это должно выглядеть так...Тебе же уравнение надо было решить?
Приложения:

Ответ дал:
0
Да, только этот знак в ответе мы не проходили.
Вас заинтересует
2 года назад
2 года назад
3 года назад
3 года назад
9 лет назад
10 лет назад
10 лет назад