• Предмет: Математика
  • Автор: Nata49901
  • Вопрос задан 9 лет назад

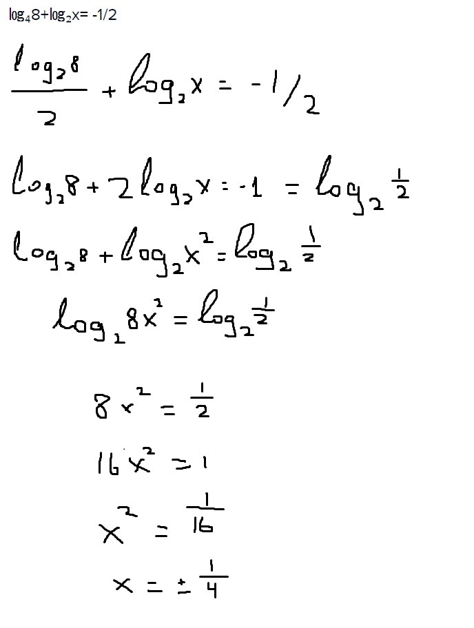
㏒₄8+㏒₂x= -1/2 Помогите пожалуйста решить это уравнение

Ответы

Ответ дал: Lenofag
0
Использованы свойства логарифмов. Сумма, вынесение степени из основания, внесение степени в само число. 
Приложения:
Ответ дал: Lenofag
0
Надеюсь, что нарисованное решение в пейнте понятно.
Ответ дал: Nata49901
0
Понятно. Спасибо
Вас заинтересует