Ответы
Ответ дал:
0
№1
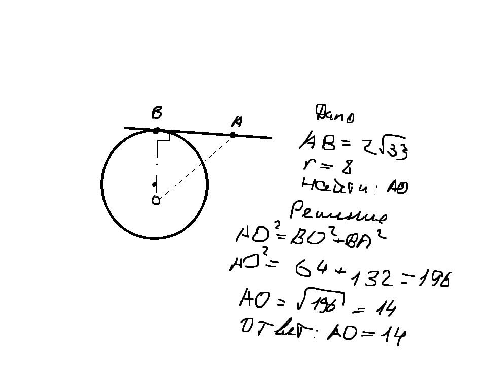
Примерно так. АОВ это прямоугольный треугольник и по теореме пифагора находим сторону ОА
Примерно так. АОВ это прямоугольный треугольник и по теореме пифагора находим сторону ОА
Приложения:

Вас заинтересует
2 года назад
3 года назад
3 года назад
10 лет назад