Ответы
Ответ дал:
0
А) 27х-1
Б) 2у²-8у
.....................
Б) 2у²-8у
.....................
Приложения:


Ответ дал:
0
a)9x²+21x-(9x²+6x+1)=9x²+21x-9x²-6x-1=21x-6x-1=15x-1
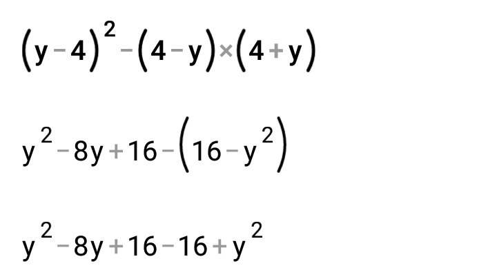
б)(у-4)²+(у-4)(4+у)=(у-4)(у-4+4+у)=(у-4)*2у=2у²-8у
б)(у-4)²+(у-4)(4+у)=(у-4)(у-4+4+у)=(у-4)*2у=2у²-8у
Приложения:


Вас заинтересует
2 года назад
2 года назад
3 года назад
3 года назад
9 лет назад
10 лет назад
10 лет назад