Ответы
Ответ дал:
0
В арифметической прогрессии каждый последующий член
получается из предыдущего
путём прибавления к нему одного и того же числа
, называемого разностью арифм. прогрессии:
.
Можно выразить n-ый член арифм. прогрессии через первый:

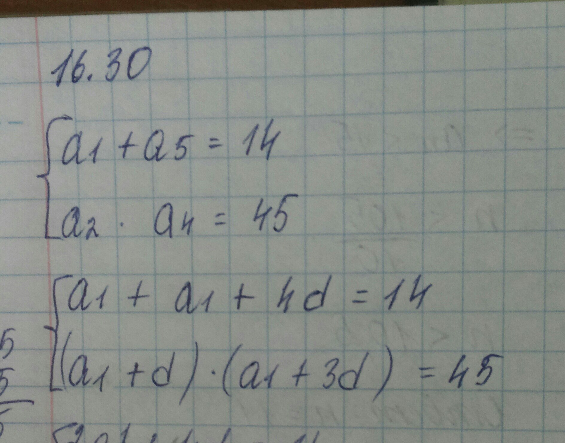
В примере выражают 5-ый, 2-ой и 4-ый члены арифм. прогрессии
через 1-ый:


Можно выразить n-ый член арифм. прогрессии через первый:
В примере выражают 5-ый, 2-ой и 4-ый члены арифм. прогрессии
через 1-ый:
Вас заинтересует
2 года назад
2 года назад
2 года назад
2 года назад
3 года назад
3 года назад
9 лет назад