• Предмет: Геометрия
  • Автор: 12341234786
  • Вопрос задан 3 года назад

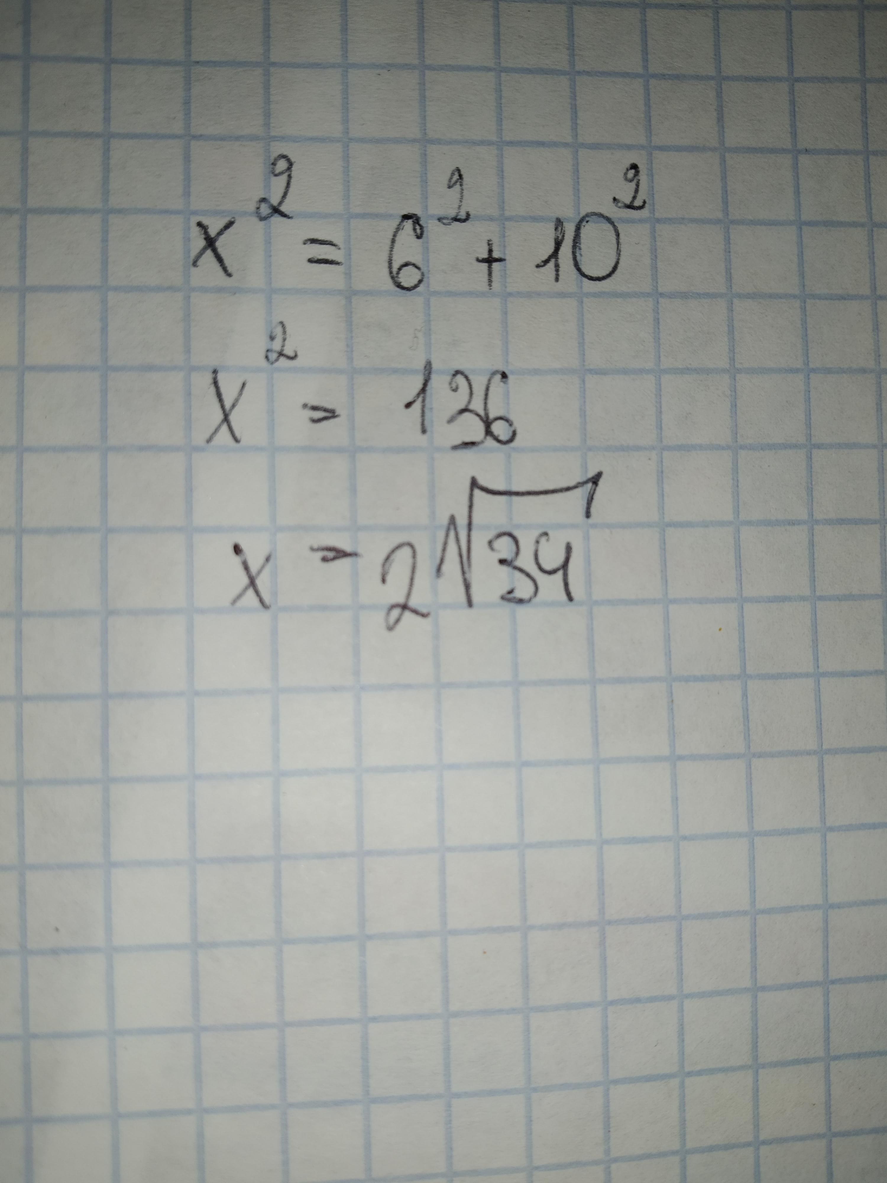
Знайдіть гіпотенузу прямокутного трикутника, якщо його катети дорівнюють 6см і 10см

Ответы

Ответ дал: WinchesterSamuel
3

Ось, тримай свою відповідь

Приложения:

12341234786: Спасибі братан
WinchesterSamuel: Ой, пробач, я трішки помилився
Там 2✓34
WinchesterSamuel: Немає за що
Вас заинтересует