• Предмет: Математика
  • Автор: Аноним
  • Вопрос задан 2 года назад

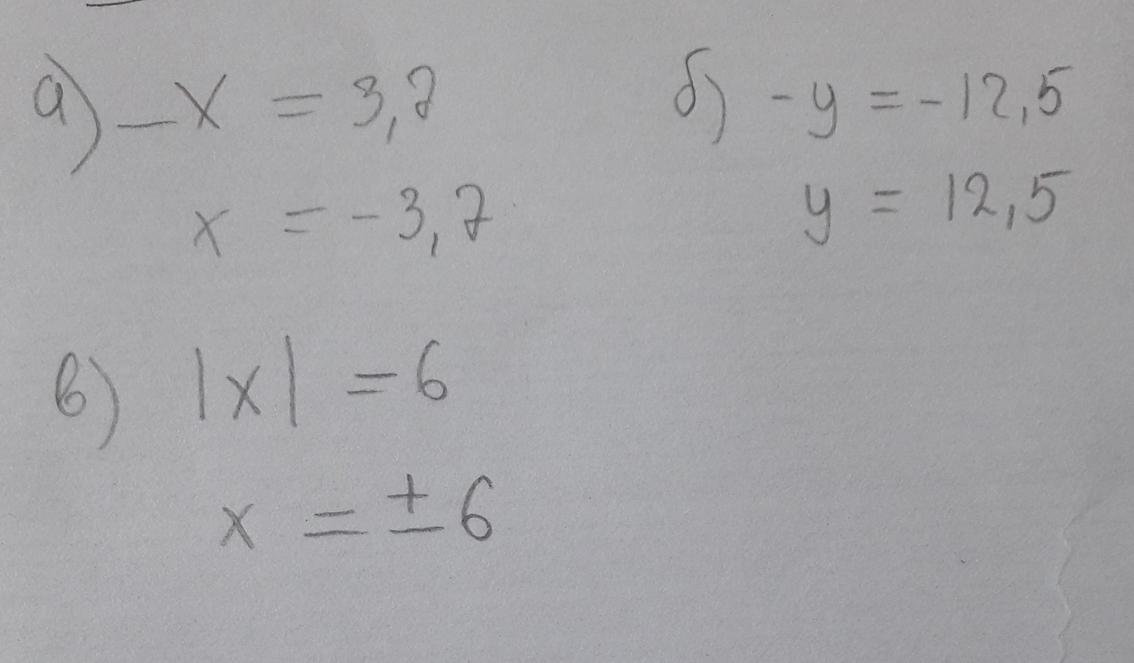
Решите уравнение:
а) -х = 3,7; б) -у = -12,5;
в) |х| = 6.

Ответы

Ответ дал: Глупышка711
0
*модуль раскрывается как с + так и с -
Приложения:
Вас заинтересует