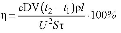
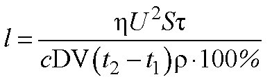
Электрический чайник нагревает 2 л воды от 10 до 100 градусов за 7 минут. Какова длина никелиновой проволоки, из которой изготовлен нагревательный элемент? Площадь сечения проволоки равна 0,63 мм^2, КПД чайника 80%, напряжение в сети 220 В. удельная теплоемкость воды 4,2 кДж/(кг*К)
Ответы
Ответ дал:
0
1 дано потом решение
Приложения:





Ответ дал:
0
только там опечатка не 1000 а сто
Вас заинтересует
2 года назад
2 года назад
8 лет назад
10 лет назад
10 лет назад