• Предмет: Алгебра
  • Автор: olga936
  • Вопрос задан 9 лет назад

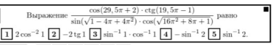
Может, кто знает, как можно решить? Помогите, пожалуйста.

Приложения:

Ответы

Ответ дал: justcall
0
Числитель надо упростить, убрав 29,5pi и 19,5pi по формулам приведения.
В знаменателе под корнем формулы квадрата суммы и разности
Приложения:
Вас заинтересует