• Предмет: Алгебра
  • Автор: Olga2403
  • Вопрос задан 11 лет назад

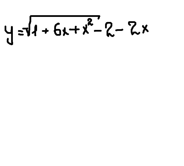
упростите выражение и нарисовать график функции

Приложения:

Ответы

Ответ дал: Dasha1385
0
y^2=1+6x+x^2-4-4x^2
y^2= -3x^2+6x-3 |:3
у^2:3= -x^2+2x+1
-y^2:3=x^2-2x-1
y=корень 1:3
Вас заинтересует