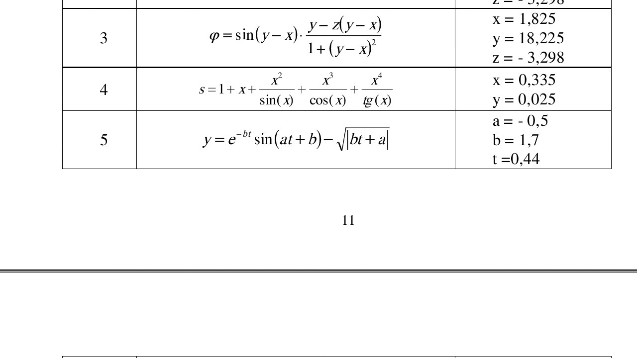
помогите как записать 3е уравнение в паскаль. Если кто может помогите написать программу пожалуйста !!!!!
Приложения:
Ответы
Ответ дал:
0
program xyzf;var x,y,z,f:real;beginx:=1.825;y:=18.225;z:=-3.298;f:= sin(y-x)*(y-z*(y-x))/(1+sqr(y-x)); writeln(f);end.
Вас заинтересует
2 года назад
2 года назад
3 года назад
3 года назад
10 лет назад