Алюминиевый чайник массой 400г, в котором находится 2 кг воды , нагрели на 80°С. Сколько энергии пошло на нагревание чайника с водой?
Ответы
Ответ дал:
0
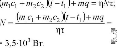
возможно так ........
Приложения:

Вас заинтересует
2 года назад
2 года назад
3 года назад
3 года назад
9 лет назад
9 лет назад
10 лет назад
10 лет назад