Ответы
Ответ дал:
0
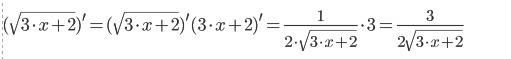
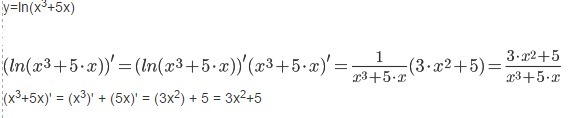
вот тебе все решения держи
Приложения:




Ответ дал:
0
а с чего Вы взяли, что нужно находить производную?
Ответ дал:
0
может нужно найти первообразную или функцию обратную данной
Ответ дал:
0
это не ко мне
Ответ дал:
0
Ребят! Уточняйте задания у учителей, одноклассников.
Вас заинтересует
2 года назад
2 года назад
3 года назад
3 года назад
9 лет назад
9 лет назад