• Предмет: Алгебра
  • Автор: maksimovalbert
  • Вопрос задан 8 лет назад

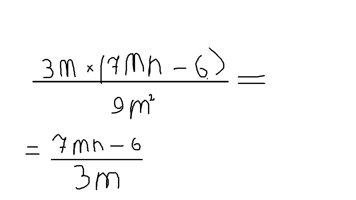
Сократите дробь. Алгебра 14 б

Приложения:

Ответы

Ответ дал: Crak00000
0
Решение находится на картинке 
Приложения:
Вас заинтересует