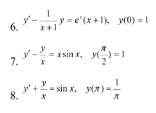
Найти общие и частные решения линейных дифференциальных уравнений первого порядка (у=uv)
Приложения:
Ответы
Ответ дал:
0
С другим оформлением решение...
Приложения:
Вас заинтересует
2 года назад
2 года назад
3 года назад
3 года назад
9 лет назад
9 лет назад
10 лет назад