• Предмет: Математика
  • Автор: zoyamu
  • Вопрос задан 9 лет назад

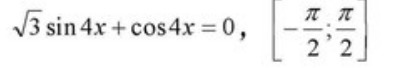
ПОМОГИТЕ ПОЖАЛУЙСТА. Решите уравнение и найдите его корни ,принадлежащие указаному отрезку

Приложения:

Ответа на этот вопрос пока нет. Попробуйте найти его через форму поиска.

Вас заинтересует