Пожалуйста можете объяснить как решать задачу
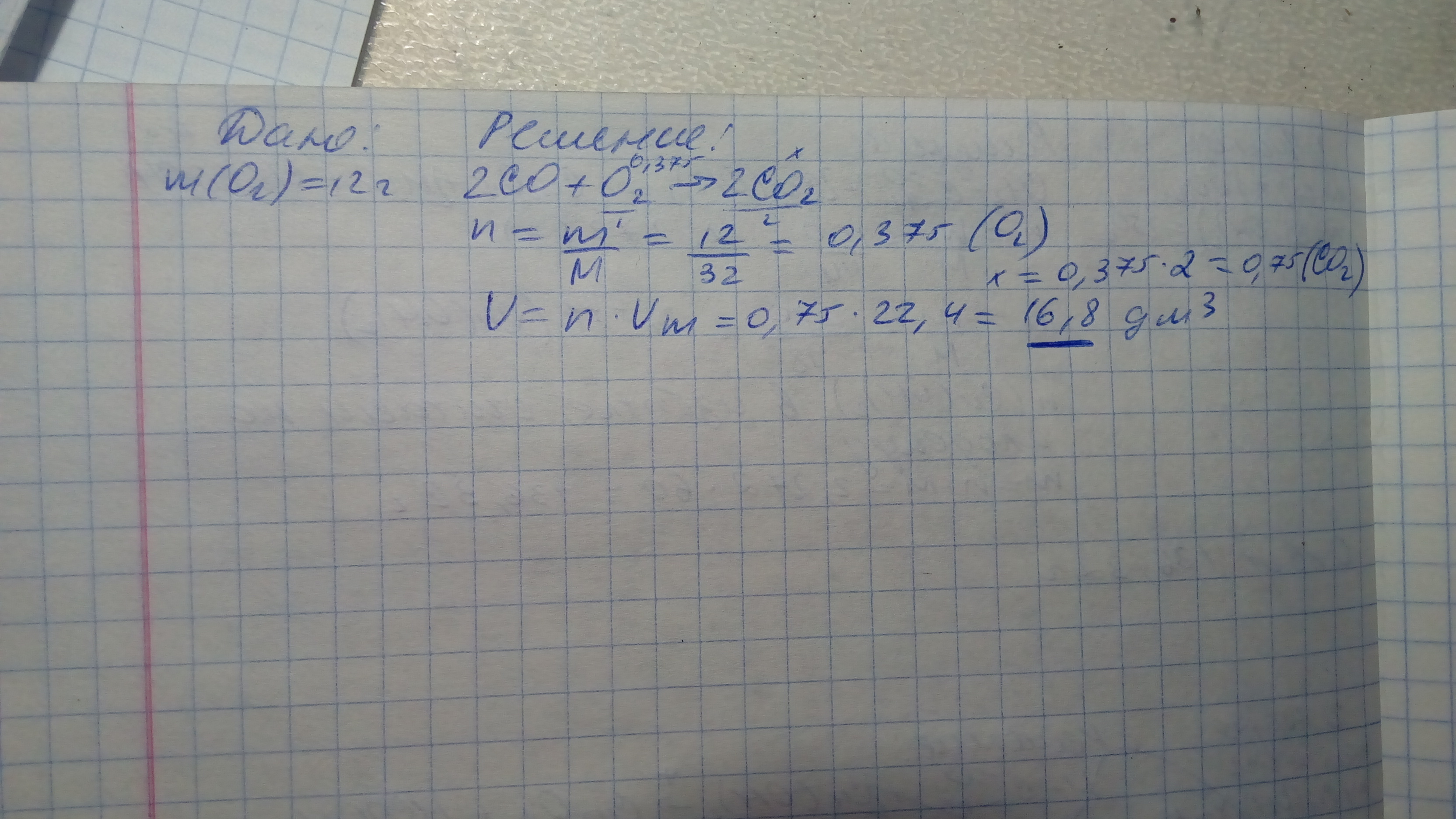
1) какой объем оксида углерода (IV) образуется при взаимодействии оксида. Углерода (II) и 12 г кислорода
Ответы
Ответ дал:
0
происходит окисление оксида углерода 2, и получается оксид углерода 4
дана масса использованого кислорода, следовательно, находишь его хим. количество по формуле, подставляешь в уравнение, и по пропорции считаешь хим. к-во co2
т.к v=n•Vm, подставляешь и считаешь
дана масса использованого кислорода, следовательно, находишь его хим. количество по формуле, подставляешь в уравнение, и по пропорции считаешь хим. к-во co2
т.к v=n•Vm, подставляешь и считаешь
Приложения:

Вас заинтересует
2 года назад
2 года назад
3 года назад
9 лет назад
10 лет назад