• Предмет: Физика
  • Автор: TrunovSergey
  • Вопрос задан 11 лет назад

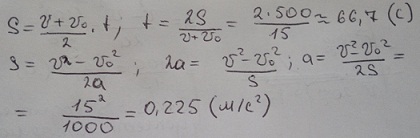
Определите, за какое время троллейбус, двигаясь из со­стояния покоя, на пути 500 м приобрел скорость 54 км/ч. С каким ускорением он при этом двигался?

Ответы

Ответ дал: ФИЗМАТик
0
Решение на фото, удачи :)
Приложения:
Вас заинтересует