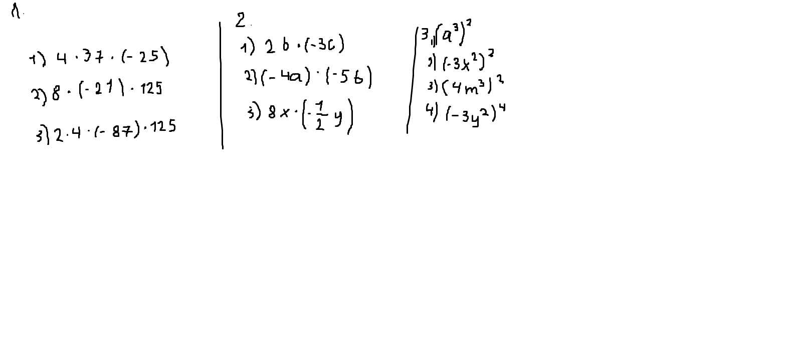
ребят помагите решить задания в первом нужно вычислить наиболее рациональным способом во втором просто решить 3 задание не нужно делать
Приложения:
Ответы
Ответ дал:
0
4*37*(-25)=-100*37=-3700
8*(-21)*125=-21*1000=-21000
2*4*(-87)*125=8*125*(-87)=1000*(-87)=-87000

8*(-21)*125=-21*1000=-21000
2*4*(-87)*125=8*125*(-87)=1000*(-87)=-87000
Вас заинтересует
3 года назад
3 года назад
8 лет назад
8 лет назад
11 лет назад
11 лет назад