• Предмет: Математика
  • Автор: pkvapavr
  • Вопрос задан 9 лет назад

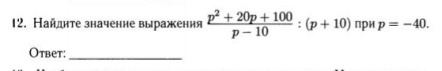
Пожалуйста с полным решением !

Приложения:

Ответа на этот вопрос пока нет. Попробуйте найти его через форму поиска.

Вас заинтересует