• Предмет: Физика
  • Автор: DashkaVerholashka
  • Вопрос задан 8 лет назад

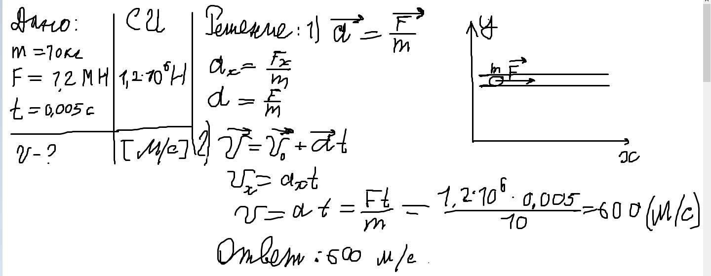
из орудия вылетает снаряд массой 10 кг, средняя сила давления пороховых газов 1,2 мн, а время движения снаряда внутри ствола 0,005 с. какова скорость снаряда при вылете из орудия?

Ответы

Ответ дал: Аноним
0
Решение на картинке. Ответ 600 м/с
Приложения:
Вас заинтересует