• Предмет: Геометрия
  • Автор: Tortescratch
  • Вопрос задан 9 лет назад

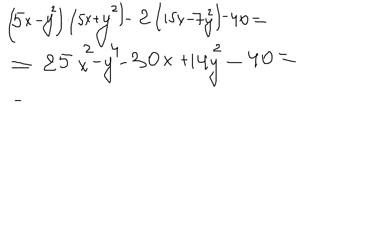
Представьте в виде произведения выражение:
(5х-y^2)(5x+y^2) - 2(15x-7y^2) - 40

Ответы

Ответ дал: TicToc
0
все написано в прикрепленном файле
Приложения:
Ответ дал: Tortescratch
0
А дальше как?
Ответ дал: Tortescratch
0
Это же не конечный ответ
Вас заинтересует