• Предмет: Математика
  • Автор: fiuzaanthony
  • Вопрос задан 9 лет назад

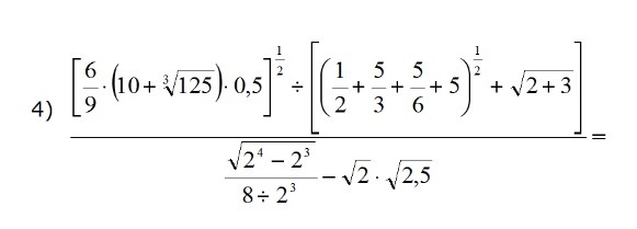
Мне нужна помощь в этом.

Приложения:

Ответы

Ответ дал: SRT1905
0
 frac{[ frac{6}{9}*(10+ sqrt[3]{125}) *0.5]^{ frac{1}{2} }/[( frac{1}{2} + frac{5}{3} + frac{5}{6}+5)^{ frac{1}{2}}+ sqrt{2+3}]}{ frac{ sqrt{2^4-2^3} }{8/2^3}-sqrt{2}*sqrt{2.5} } =\\= frac{[ frac{2}{3}*15*0.5]^{ frac{1}{2} }/[8^{ frac{1}{2}}+ sqrt{5}]}{ frac{ sqrt{8} }{1}-sqrt{5} } =\\= frac{ sqrt{5} }{ [sqrt{8}-sqrt{5}]*[ sqrt{8} + sqrt{5}] } =\\= frac{sqrt{5}}{ 3}
Вас заинтересует