Ответы
Ответ дал:
0
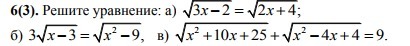
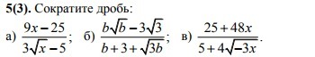
Все решения размещены во вложенных файлах
Приложения:



Вас заинтересует
2 года назад
3 года назад
3 года назад
9 лет назад
9 лет назад
9 лет назад
9 лет назад