• Предмет: Математика
  • Автор: narmina1m2
  • Вопрос задан 2 года назад

Умные люди, прошу, помогите!!!

Приложения:

Ответы

Ответ дал: Аноним
1
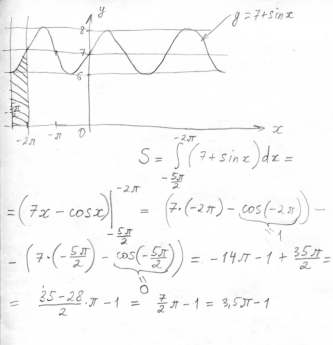
решение на листке ===>>
Приложения:
Вас заинтересует