Ответы
Ответ дал:
2
I.
y = 2- |x|
1) x < 0 ⇒ y = 2 + x
График - прямая линия.
Точка пересечения с осью OX y = 0; x = -2
Дополнительная точка для построения
x = -1; y = 2- 1 = 1
2) x ≥ 0 ⇒ y = 2 - x
График - прямая линия.
Точка пересечения с осью OX y = 0; x = 2
Точка пересечения с осью OY x = 0; y = 2
II. y = x² квадратичная функция
График - квадратичная парабола, ветви направлены вверх
Ноль функции в точке y = 0; x = 0 - вершина параболы
III. Точки пересечения графиков
1) x² = 2 + x для x<0
x² - x - 2 = 0
D = 1 + 4*2 = 9 = 3²
x₁ = (1 - 3)/2 = -1; y₁ = 2 + (-1) = 1;
x₂ = (1 + 3)/2 = 2 не подходит, так как x<0
2) x² = 2 - x для x ≥ 0
x² + x - 2 = 0
D = 1 + 4*2 = 9 = 3²
x₁ = (-1 + 3)/2 = 1; y₁ = 2 - 1 = 1;
x₂ = (-1 - 3)/2 = -2 не подходит, так как x≥0
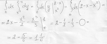
IV. Площадь симметрична относительно оси OY, можно посчитать площадь только правой половинки и умножить на 2.
Область интегрирования
по оси OX: x ∈ [0; 1]
по оси OY: от параболы y = x² до прямой y = 2 - x
V.


Ответ: S = 2 1/3
y = 2- |x|
1) x < 0 ⇒ y = 2 + x
График - прямая линия.
Точка пересечения с осью OX y = 0; x = -2
Дополнительная точка для построения
x = -1; y = 2- 1 = 1
2) x ≥ 0 ⇒ y = 2 - x
График - прямая линия.
Точка пересечения с осью OX y = 0; x = 2
Точка пересечения с осью OY x = 0; y = 2
II. y = x² квадратичная функция
График - квадратичная парабола, ветви направлены вверх
Ноль функции в точке y = 0; x = 0 - вершина параболы
III. Точки пересечения графиков
1) x² = 2 + x для x<0
x² - x - 2 = 0
D = 1 + 4*2 = 9 = 3²
x₁ = (1 - 3)/2 = -1; y₁ = 2 + (-1) = 1;
x₂ = (1 + 3)/2 = 2 не подходит, так как x<0
2) x² = 2 - x для x ≥ 0
x² + x - 2 = 0
D = 1 + 4*2 = 9 = 3²
x₁ = (-1 + 3)/2 = 1; y₁ = 2 - 1 = 1;
x₂ = (-1 - 3)/2 = -2 не подходит, так как x≥0
IV. Площадь симметрична относительно оси OY, можно посчитать площадь только правой половинки и умножить на 2.
Область интегрирования
по оси OX: x ∈ [0; 1]
по оси OY: от параболы y = x² до прямой y = 2 - x
V.
Ответ: S = 2 1/3
Приложения:
Вас заинтересует
2 года назад
2 года назад
3 года назад
9 лет назад