• Предмет: Геометрия
  • Автор: CuSo4NH2O
  • Вопрос задан 2 года назад

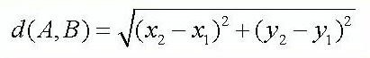
Найти расстояние от А до В если
А(5;-3); В(-1;-2)
Уравнение прямой АВ: х+6у+13=0

Ответы

Ответ дал: spaiknet1
0
A(x)= 5  B(x)= (-1)
A(y)= (-3)  B(y)= (-2)
d= корень из 37
Приложения:
Вас заинтересует