• Предмет: Математика
  • Автор: 1hochuvsharagy1
  • Вопрос задан 9 лет назад

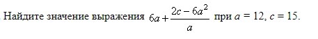
Найдите значение выражения.

Приложения:

Ответы

Ответ дал: tutubabayeva
0
72+30-72*72/12= -715/2=-357.5
Ответ дал: армения20171
0
не правильно
Ответ дал: армения20171
0
6a+(2c-6a^2)/a=(6a^2+2c-6a^2)/a=
2c/a=2•15/12=15/6=5/2=2,5
Вас заинтересует