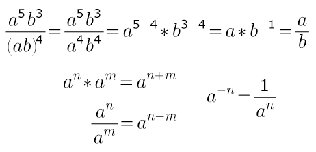
Решите пожалуйста 7 номер! Очень срочно надо с объяснением (не просто подставив числа, а привести к более легкому решению)
Приложения:

Ответы
Ответ дал:
0
8.2 / 4.1 = 82 / 41 = 2
Приложения:

Вас заинтересует
2 года назад
3 года назад
3 года назад
9 лет назад
9 лет назад
10 лет назад