Ответы
Ответ дал:
0
РЕШЕНИЕ
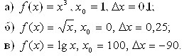
1) f(х) = x³
f(1) = 1, f(1.1) = 1.331
Δf = 0.331 - приращение - ОТВЕТ
2) f(x) = √x
f(0) = 0, f(0.25) = 0.5
Δf = 0.5 - приращение - ОТВЕТ
3) f(x) = lg(x)
f(100) = 2, f(10) = 1
Δf = -1 - приращение - ОТВЕТ
1) f(х) = x³
f(1) = 1, f(1.1) = 1.331
Δf = 0.331 - приращение - ОТВЕТ
2) f(x) = √x
f(0) = 0, f(0.25) = 0.5
Δf = 0.5 - приращение - ОТВЕТ
3) f(x) = lg(x)
f(100) = 2, f(10) = 1
Δf = -1 - приращение - ОТВЕТ
Вас заинтересует
2 года назад
2 года назад
3 года назад
9 лет назад
9 лет назад