• Предмет: Алгебра
  • Автор: electra1306
  • Вопрос задан 8 лет назад

Ребятки выручайте
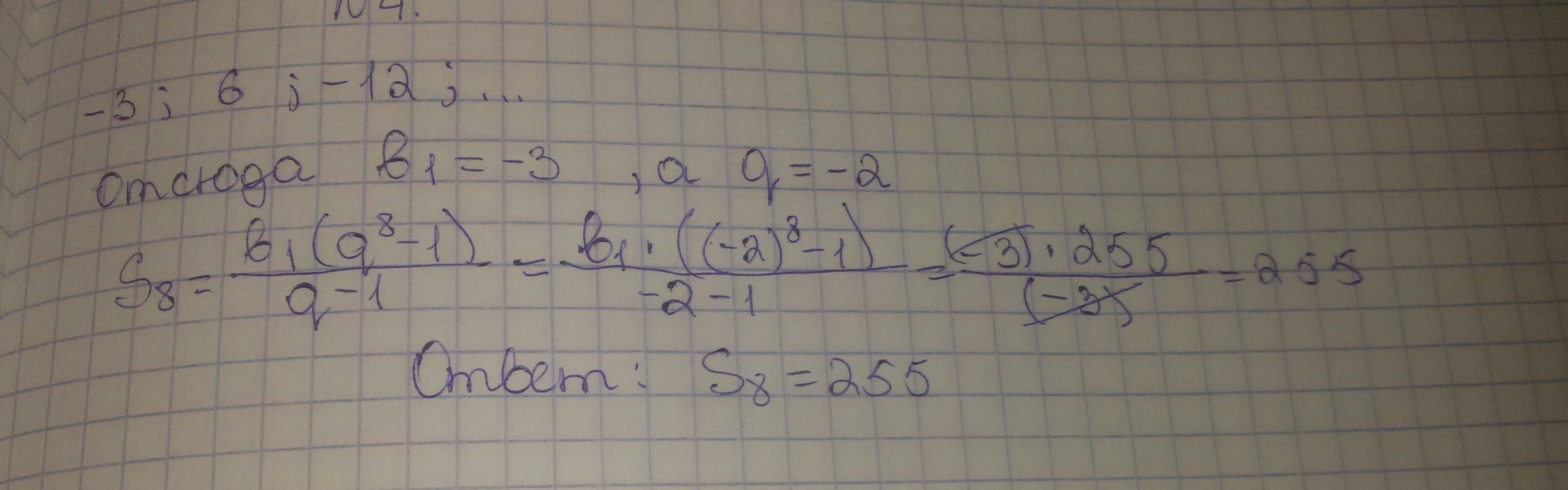
Найдите сумму первых восьми членов геометрической прогрессии -3;6;-12...

Ответы

Ответ дал: Нурлан1232
0
Не забудь подписаться
Приложения:
Вас заинтересует