• Предмет: Алгебра
  • Автор: roma12331
  • Вопрос задан 9 лет назад

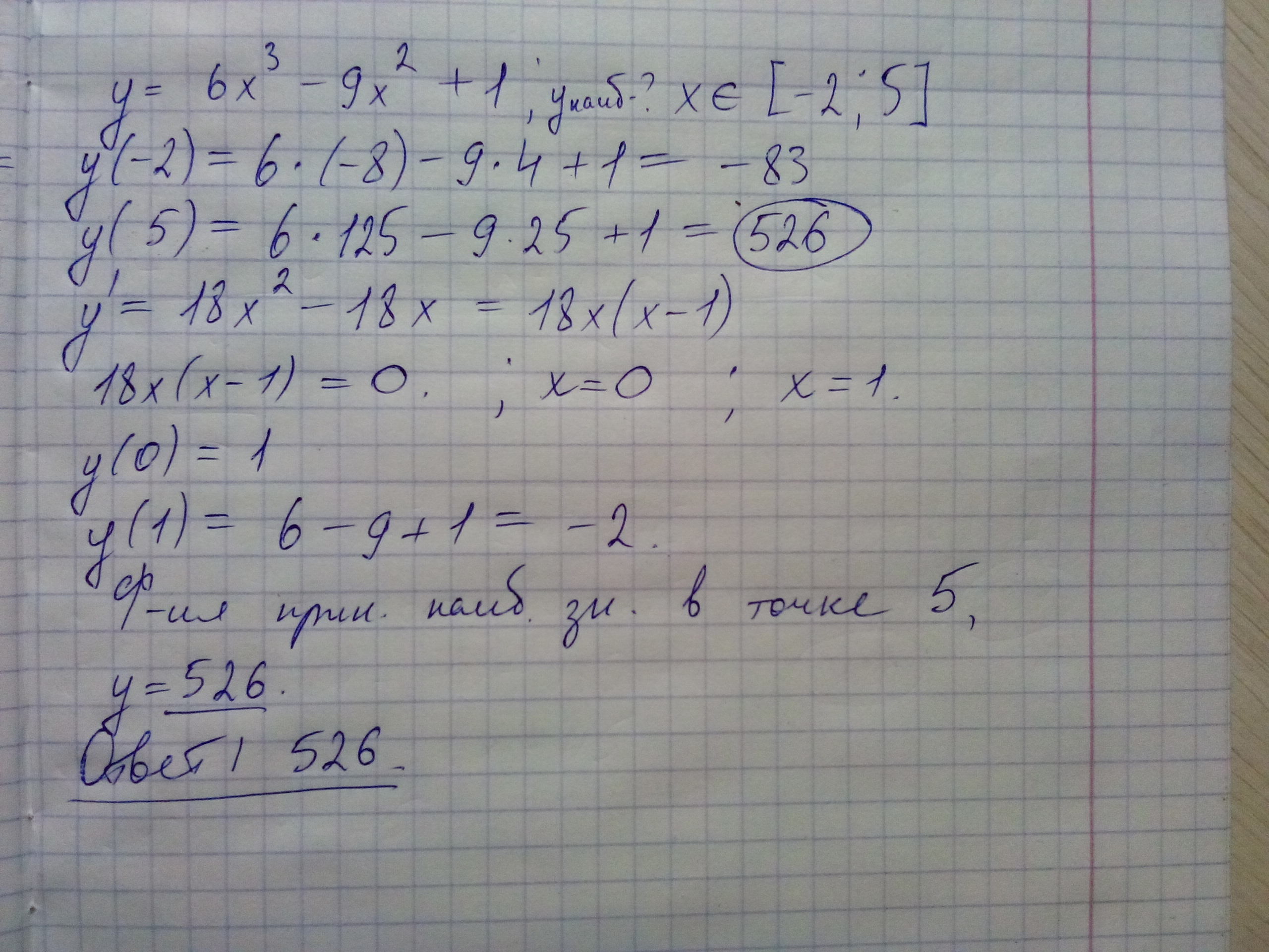
найдите наибольшее значение функции y=6x^3-9x^2+1 на отрезке -2 ; 5 в квадратных скобках

Ответы

Ответ дал: Artemka60
0
Найти значение функции на концах отрезка и точки экстремума подставить точки экстремума и найти наибольшее значение.

Приложения:
Ответ дал: roma12331
0
выручил спасибо
Вас заинтересует