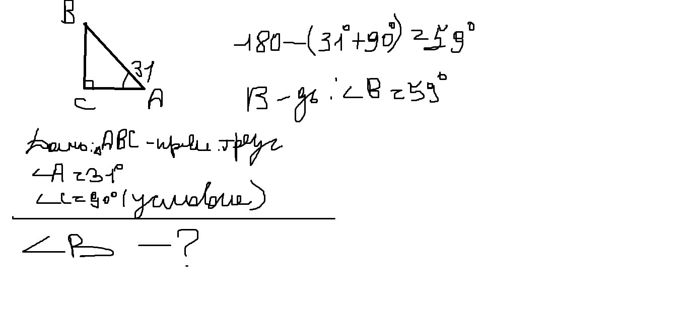
В прямоугл. треугольника АВС <С прямой, <А=31° найти <С
Hrisula:
Угол С дан, он 90°. Следует найти третий угол - угол В.
Ответы
Ответ дал:
0
ну как то так..........
Приложения:
Вас заинтересует
2 года назад
2 года назад
2 года назад
2 года назад
3 года назад
3 года назад
9 лет назад