Ответы
Ответ дал:
1
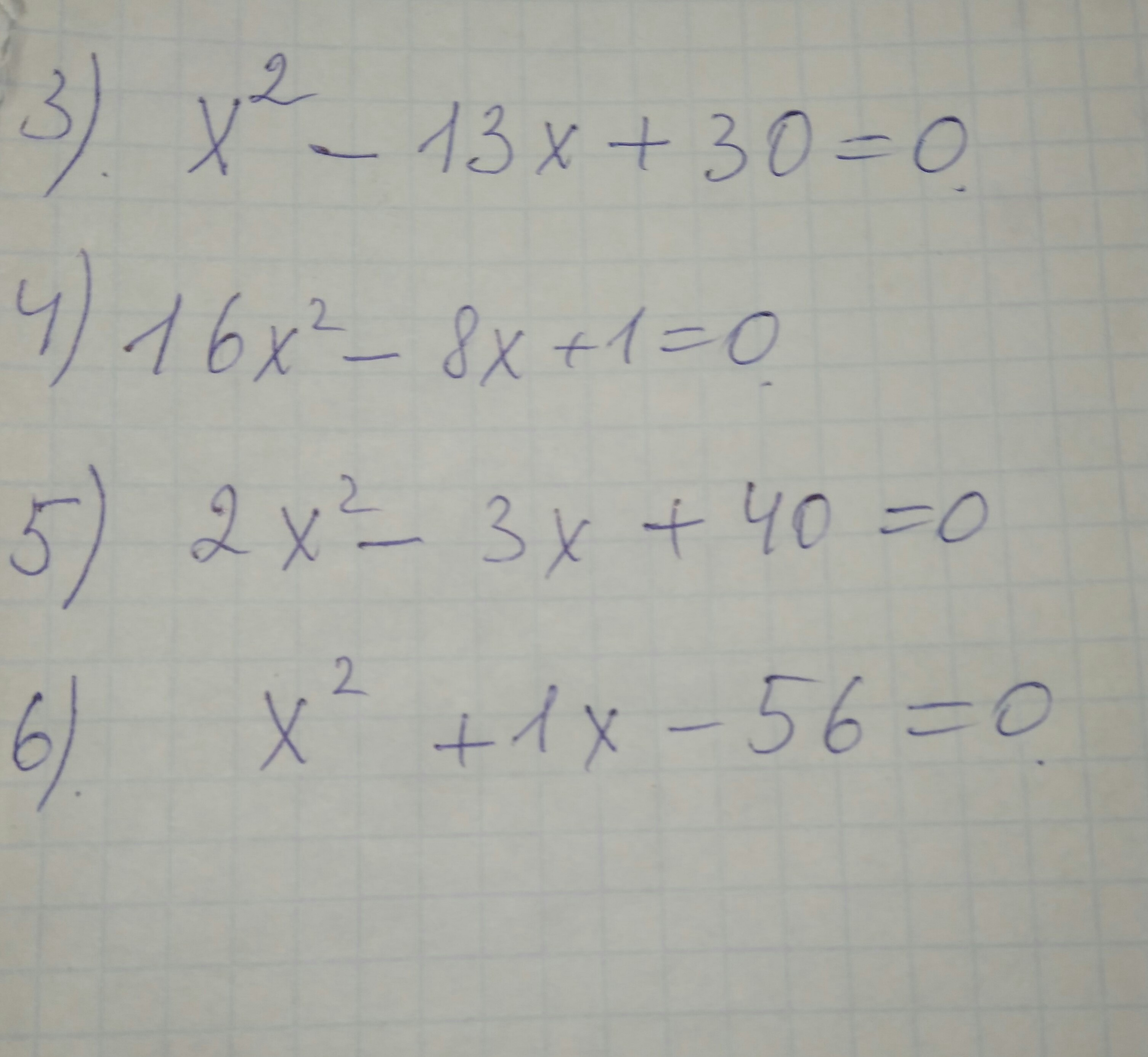
3)
Д = 169 - 120 = 49
х1 = (13 - 7) : 2 = 3
х2 = (13 + 7) : 2 = 10
Ответ: 3; 10;
4)
Д/4 = 16 - 16 = 0
х = 4 : 16 = 0,25
Ответ: 0,25;
5)
Д = 9 - 320 = -311
Ответ: корней нет;
х1 + х2 = -1
х1х2 = -56
х1 = -8
х2 = 7
Ответ: -8; 7.
Д = 169 - 120 = 49
х1 = (13 - 7) : 2 = 3
х2 = (13 + 7) : 2 = 10
Ответ: 3; 10;
4)
Д/4 = 16 - 16 = 0
х = 4 : 16 = 0,25
Ответ: 0,25;
5)
Д = 9 - 320 = -311
Ответ: корней нет;
х1 + х2 = -1
х1х2 = -56
х1 = -8
х2 = 7
Ответ: -8; 7.
StupidOleynik13:
Там после "корней нет" шестое идёт. И я не списывал изначальное уравнение.
cяб
Вас заинтересует
2 года назад
2 года назад
2 года назад
3 года назад
3 года назад
9 лет назад
9 лет назад