• Предмет: Математика
  • Автор: dihinbulat
  • Вопрос задан 9 лет назад

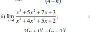
Вычислить предел, используя правило Лопиталя.

Приложения:

Ответа на этот вопрос пока нет. Попробуйте найти его через форму поиска.

Вас заинтересует