Ответы
Ответ дал:
0
решение в приложении..
Приложения:
Ответ дал:
0
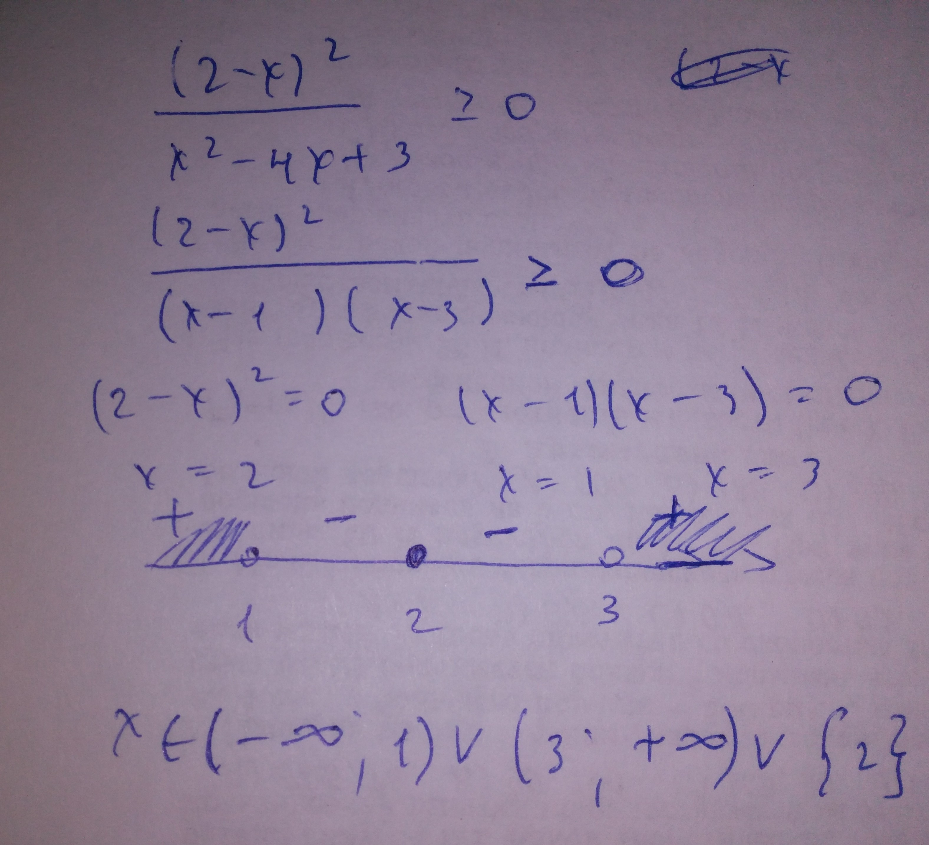
(2-x)²/(x²-4x+3) ≥0
(2-x)²/(x²-4x+3)=0
1)Найдём нули числителя:
(2-x)²=0
x=2
2)Найдём нули знаменателя:
x²-4x+3=0
{x₁+x₂=4,
{x₁+x₂=3.
x₁=3
x₂=1
___+__1__-__2__-__3__+____
Ответ: x∈(-∞;1)∪{2}∪(3;+∞)
(2-x)²/(x²-4x+3)=0
1)Найдём нули числителя:
(2-x)²=0
x=2
2)Найдём нули знаменателя:
x²-4x+3=0
{x₁+x₂=4,
{x₁+x₂=3.
x₁=3
x₂=1
___+__1__-__2__-__3__+____
Ответ: x∈(-∞;1)∪{2}∪(3;+∞)
Приложения:
Вас заинтересует
2 года назад
3 года назад
3 года назад
9 лет назад
9 лет назад
10 лет назад