• Предмет: Алгебра
  • Автор: m3trof
  • Вопрос задан 8 лет назад

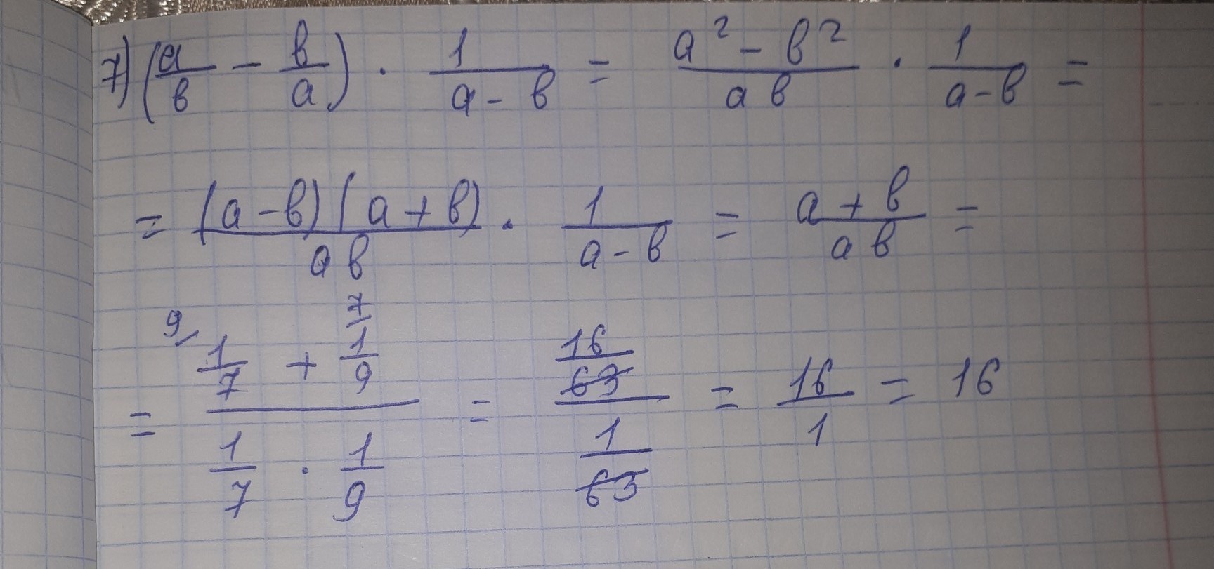
помогите с алгеброй

Приложения:

Ответы

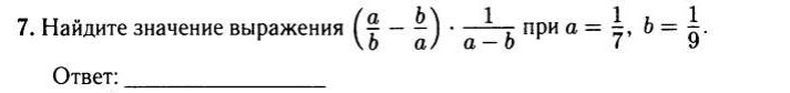
Ответ дал: tadadam1
0
*******решение*******
Приложения:
Вас заинтересует