• Предмет: Алгебра
  • Автор: 007АБВ
  • Вопрос задан 8 лет назад

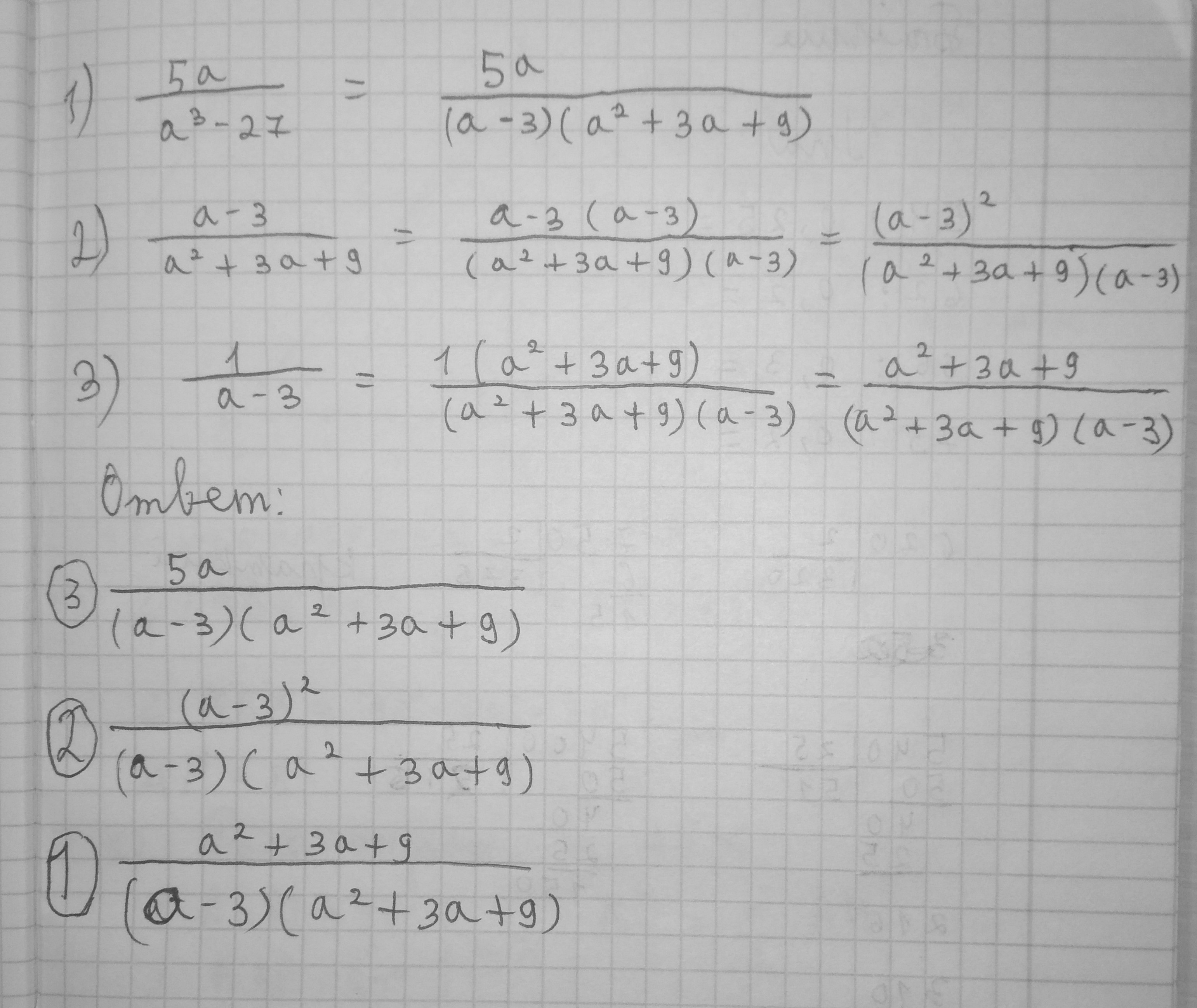
Приведите дроби к общему знаменателю:
Пж по быстрее!!!!!

Приложения:

Ответы

Ответ дал: pavelshk1
0
Решение задачи смотри на фото.
Приложения:
Ответ дал: nastenamaksimo
0
Знаю что немного поздновато, но лучше поздно чем никогда. 
Приложения:
Ответ дал: nastenamaksimo
0
если ты есть в вк и нужна помощь, можешь обращаться id382544867
Ответ дал: 007АБВ
0
спасибо
Вас заинтересует