• Предмет: Математика
  • Автор: angelinaja598
  • Вопрос задан 8 лет назад

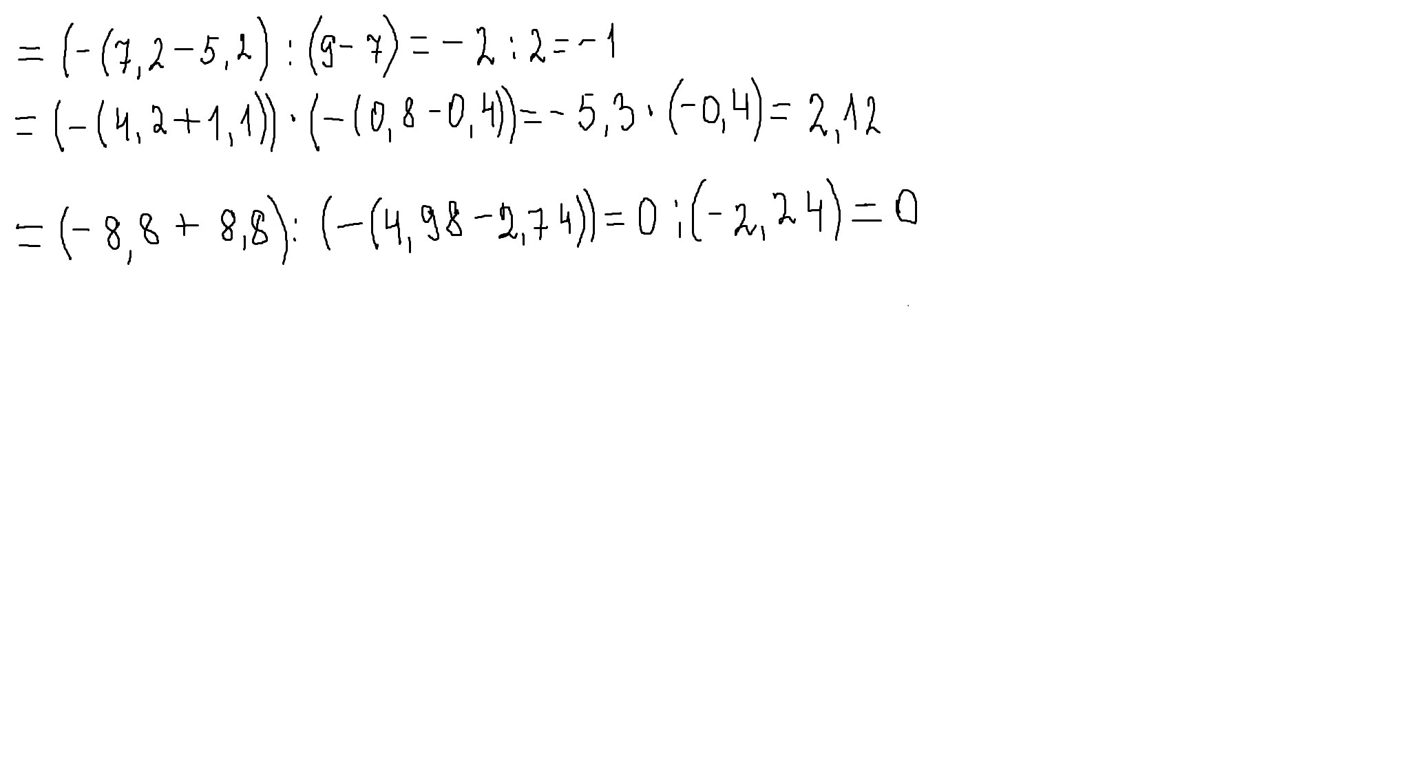
Помогите пожалуйста решить 3 примера из 2 столбика из номера 61.15 пожалуйста помогите а то нечего не понимаю)))))

Приложения:

Ответы

Ответ дал: sashagrachev0
0
Поймёшь? Если нет, напиши
Приложения:
Ответ дал: parus77
0
где непонятно-спрашивай.
Приложения:
Вас заинтересует