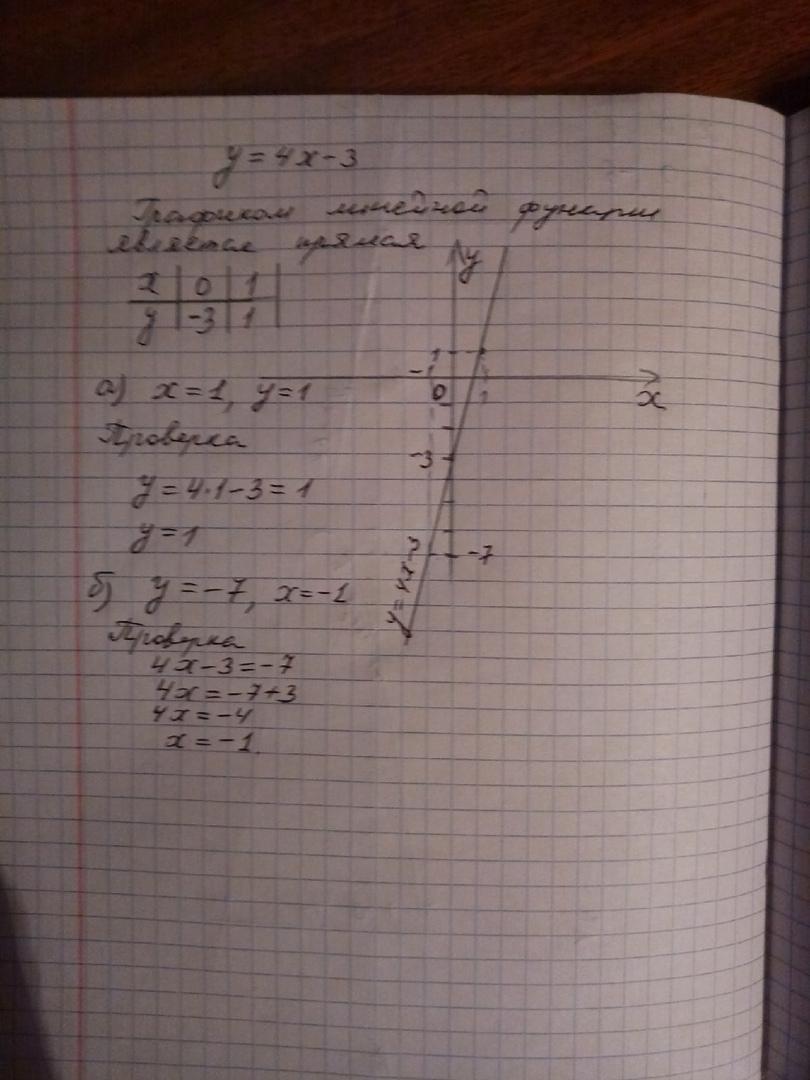
Постройте график функции y = 4x − 3. Пользуясь графиком, найдите: 1) значение функции, если значение аргумента равно 1; 2) значение аргумента, при котором значение функции равно −7.
Ответы
Ответ дал:
0
Ответ:
решение представлено на фото
Объяснение:
Приложения:

Вас заинтересует
2 года назад
2 года назад
3 года назад
3 года назад
9 лет назад
10 лет назад
10 лет назад