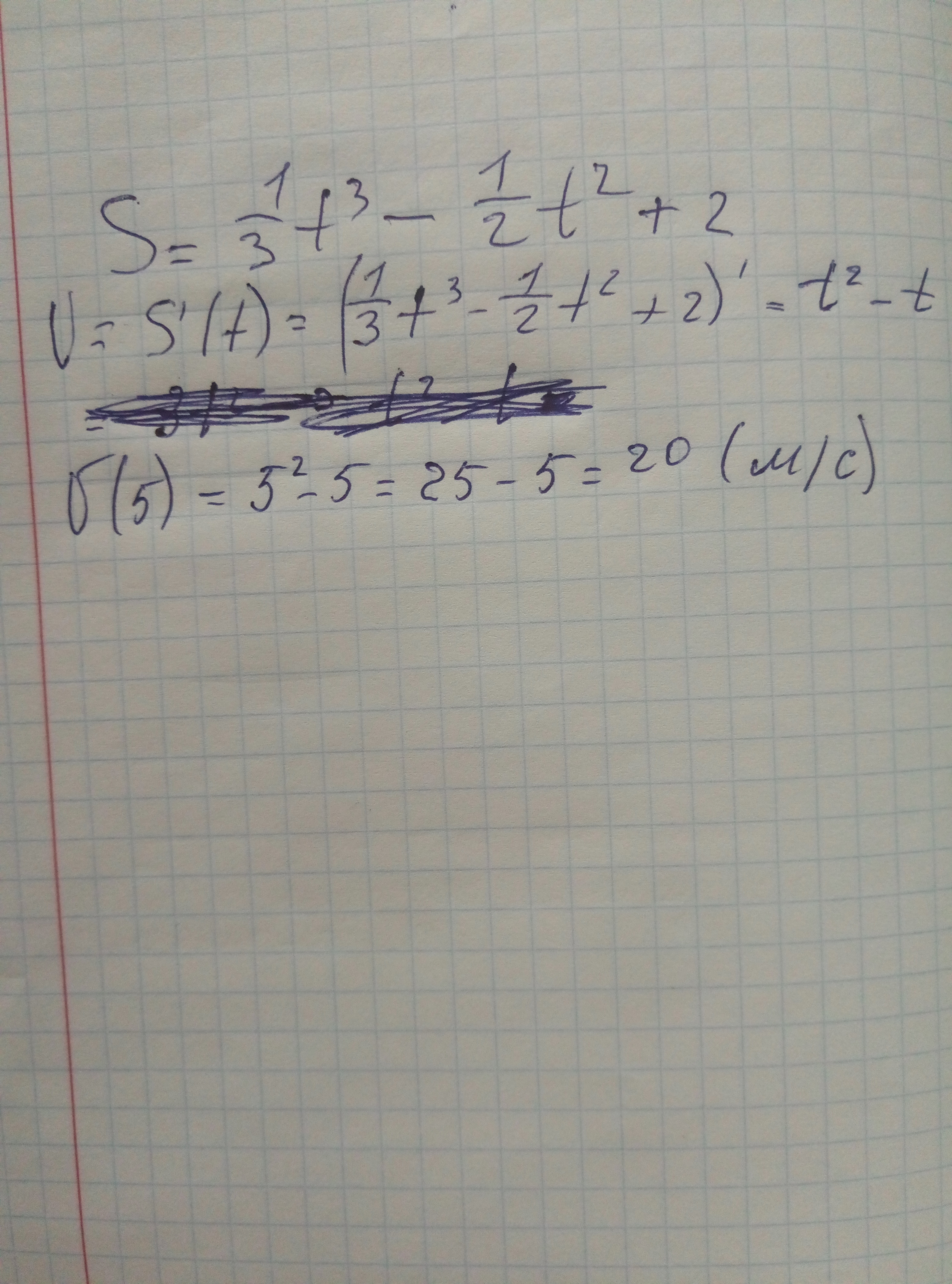
зависимость пути от времени при прямолинейном движении точки задана уравнением
s = 1/3t³ - 1/2t² + 2
вычислить ее скорость в момент времени t=5c
Ответы
Ответ дал:
0
V(5) = 5^2-5=20(м/с)
Приложения:

Вас заинтересует
2 года назад
2 года назад
3 года назад
3 года назад
9 лет назад
9 лет назад
9 лет назад
9 лет назад