• Предмет: Алгебра
  • Автор: marriika1
  • Вопрос задан 9 лет назад

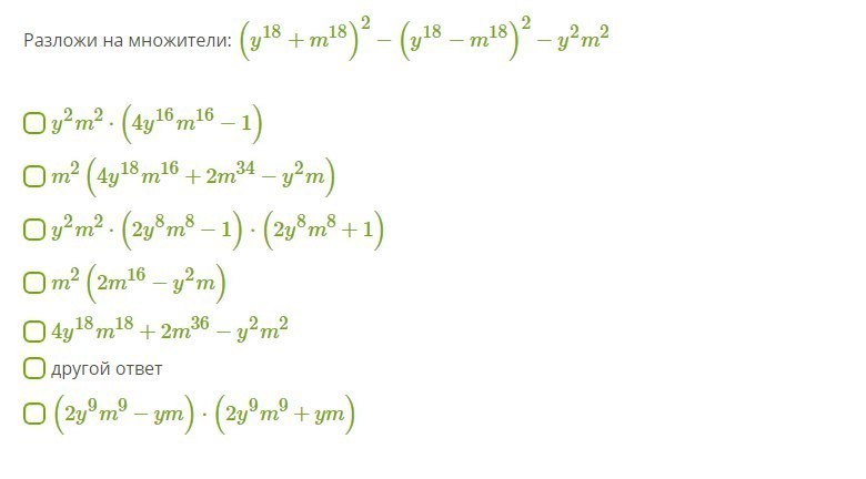
очень важно!!
помогите пожалуйста!

Приложения:

Ответы

Ответ дал: 22Selena44
0
Вот решение вашей задачи
Приложения:
Вас заинтересует